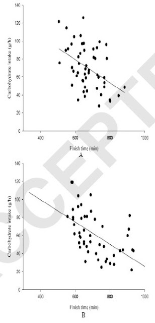
En los gráficos podemos apreciar la ingesta de carbohidratos totales (gramos por hora) en el eje vertical y el tiempo final en minutos obtenido por el sujeto en la prueba Ironman (Hawaii arriba y Alemania abajo) en el eje horizontal.
El estudio fue realizado por la revista Medicine & Science in Sports  Excercise que analizó en campo la ingesta de nutrientes y sus problemas gastrointestinales asociados en maratones, Ironman, etc.
Al distribuir los resultados en las gráficas dos aspectos se hicieron claramente visibles:
1. Aquellos que lograron mejores tiempos  tuvieron mayores ingestas de CHO (carbohidratos)  a pesar de haber registrado en algunos casos nauseas o molestias intestinales. Así que, básicamente, tomar porciones de carbohidratos puede causar malestar estomacal, pero de todas maneras es sumamente importante para obtener el mejor rendimiento posible.
La tolerancia gastrointestinal es entrenable por lo que deberá prestarse especial atención a esto durante la preparación de la carrera a fin de aprovechar al máximo la ingesta de CHO durante la carrera y minimizar las molestias.
2. Otro punto digno de mención. La idea tradicional era que los seres humanos en general, no pueden procesar más de 60 gramos de carbohidratos por hora. En los últimos años, gracias a múltiples mezclas de carbohidratos, el umbral se ha llevado hasta 90 gramos de carbohidratos por hora. En este conjunto de datos, aproximadamente el 50% de los triatletas estaban tomando 70  g / hora o más entre geles, gomitas, barras y bebidas deportivas.
Nota: el Gatorade tiene aproximadamente 56gr de CHO por litro y un gel GU tiene 25gr
Algunas consideraciones:
-El hecho de solamente ingerir mayor cantidad de CHO no va a hacer por si solo que los tiempos en carrera sean “mágicamente” mejores. Las dos cosas son importantes. Una correcta nutrición e hidratación en carrera lograrán que cada atleta pueda obtener el máximo rendimiento acorde a su nivel de preparación.
-Casi la totalidad de los atletas sub 10hs tiene ingestas claramente superiores a los 70grs por hora alcanzando en algunos casos valores impensables de 120 gr/hora.
-Algo que no se detalla en la gráfica pero que sería importante conocer es: cuantos de los que tuvieron baja ingesta de CHO se vieron obligados a esto por problemas gastrointestinales ya en las primeras etapas de la prueba. Es muy usual que las descomposturas empiecen en el ciclismo, por los nervios, el viento en el estómago mojado, etc. , y esto perjudica generalmente toda la carrera.
Fuente:
Nutritional Intake and Gastrointestinal Problems during Competitive Endurance Events. (http://www.ncbi.nlm.nih.gov/pubmed/21775906)
 

 
 
 
 
 
 
 
 
 

0 comentarios:
Publicar un comentario